GO实现Redis的LRU例子
常见的三种缓存淘汰算法有三种:FIFO,LRU和LFU
实现LRU缓存淘汰算法
1.FIFO/LFU/LRU算法简介
缓存全部存在内存中,内存是有限的,因此不可能无限制的添加数据,假定我们能够最大使用的内存为Max,那么在一个时间点之后,添加了某一条缓存记录之后,占用内存超过了N,这个时候就需要从缓存中移除一些数据,那么该移除或者淘汰谁呢?我们肯定希望去移除没用的数据,将热点数据留在缓存中,下面几种就是对应的几种策略!
FIFO (First in First Out)
先进先出,内存满了时淘汰最老存在最久的key缓存,这种算法认为越早被添加的数据使用可能性会比新加入进来的小,但是这种也有弊端,在某些场景下比如查历史支付记录的账单,就需要查询之前的缓存记录,这类记录就不得不因为每天新的支付从而淘汰掉以前的支付记录(当然这类记录存库是最好方式)
【实现方式】维护一个队列先进先出就行了,新来的数据加到队尾
LFU (Least Frequently Used)
最少使用,也就是淘汰缓存中访问频率最低的记录。这个算法认为过去访问次数最高的使用概率也最大,但是这样就额外维护了一个访问次数,对内存其实占用也挺多的,再者访问次数最多的数据,突然不使用了,那么要淘汰它之前,需要内存其他区域的数据访问次数全部超过它才有可能,所以淘汰的缺点也非常明显。
【实现方式】LFU 的实现需要维护一个按照访问次数排序的队列,每次访问,访问次数加1,队列重新排序,淘汰时选择访问次数最少的即可
LRU (Least Recently Used)
最近最少使用,相对于只考虑使用时间和使用次数来看,LRU会相对比较平均去淘汰数据,如果数据最近被使用过,那么将来被访问的概率将提高
【实现方式】维护一个队列,如果某条记录被访问了,则移动到队尾,那么队首则是最近最少访问的数据,淘汰该条记录即可。
2.LRU算法实现
2.1核心数据结构

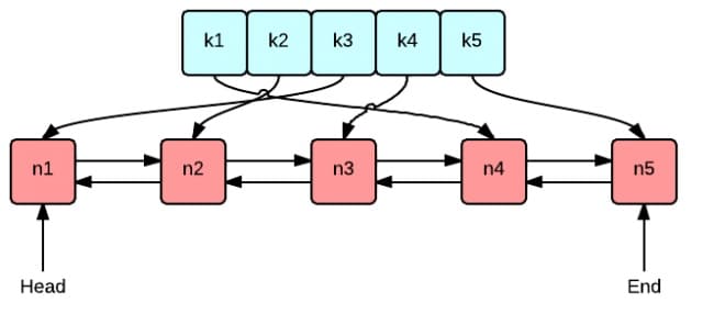
这张图很好地表示了 LRU 算法最核心的 2 个数据结构
- 绿色的是字典(map),存储键和值的映射关系。这样根据某个键(key)查找对应的值(value)的复杂是
O(1),在字典中插入一条记录的复杂度也是O(1)。 - 红色的是双向链表(double linked list)实现的队列。将所有的值放到双向链表中,这样,当访问到某个值时,将其移动到队尾的复杂度是
O(1),在队尾新增一条记录以及删除一条记录的复杂度均为O(1)。
接下来我们创建一个包含字典和双向链表的结构体类型 Cache,方便实现后续的增删查改操作。
package lru
import (
"container/list"
"log"
)
// Cache is a LRU cache. It is not safe for concurrent access.
type Cache struct {
maxBytes int64 // 允许使用的最大内存
nbytes int64 // 当前已使用的内存
ll *list.List
cache map[string]*list.Element
// optional and executed when an entry is purged.
OnEvicted func(key string, value Value) // 某条记录被移除时的回调函数
}
type entry struct {
key string
value Value
}
// Value use Len to count how many bytes it takes
type Value interface {
Len() int
}- 在这里我们直接使用 Go 语言标准库实现的双向链表
list.List。 - 字典的定义是
map[string]*list.Element,键是字符串,值是双向链表中对应节点的指针。 -
maxBytes是允许使用的最大内存,nbytes是当前已使用的内存,OnEvicted是某条记录被移除时的回调函数,可以为 nil。 - 键值对
entry是双向链表节点的数据类型,在链表中仍保存每个值对应的 key 的好处在于,淘汰队首节点时,需要用 key 从字典中删除对应的映射。 - 为了通用性,我们允许值是实现了
Value接口的任意类型,该接口只包含了一个方法Len() int,用于返回值所占用的内存大小。
方便实例化 Cache,实现 New() 函数:
// New is the Constructor of Cache
func New(maxBytes int64, onEvicted func(string, Value)) *Cache {
return &Cache{
maxBytes: maxBytes,
ll: list.New(),
cache: make(map[string]*list.Element),
OnEvicted: onEvicted,
}
}2.2查找功能
查找主要有 2 个步骤,第一步是从字典中找到对应的双向链表的节点,第二步,将该节点移动到队尾。
func (c *Cache)Get(key string)(val Value,ok bool){
// 如果找到了节点,就将缓存移动到队尾
if ele,ok:=c.cache[key];ok{
c.ll.MoveToBack(ele)
kv:=ele.Value.(*entry)
return kv.value,true
}
return
}- 如果键对应的链表节点存在,则将对应节点移动到队尾,并返回查找到的值。
-
c.ll.MoveToBack(ele),即将链表中的节点ele移动到队尾
2.3删除
这里的删除,实际上是缓存淘汰。即移除最近最少访问的节点(队首)
// 移除最近最近,最少访问的的节点
func (c *Cache)RemoveOldest(){
ele:=c.ll.Front() // 取到队首节点,从链表中删除
if ele!=nil{
c.ll.Remove(ele)
kv:=ele.Value.(*entry)
delete(c.cache,kv.key)
c.nbytes-=int64(len(kv.key))+int64(kv.value.Len())
if c.OnEvicted != nil {
c.OnEvicted(kv.key, kv.value)
}
}
}-
c.ll.Front()取到队首节点,从链表中删除。 -
delete(c.cache, kv.key),从字典中c.cache删除该节点的映射关系。 - 更新当前所用的内存
c.nbytes。 - 如果回调函数
OnEvicted不为 nil,则调用回调函数
2.4新增或修改
// 新增或修改
func (c *Cache)Add(key string ,value Value){
if int64(value.Len())>c.maxBytes{
log.Printf("超过最大容量%d,插入缓存容量为%d",c.maxBytes,int64(value.Len()))
return
}
if ele,ok:=c.cache[key];ok{
c.ll.MoveToBack(ele)
kv:=ele.Value.(*entry)
c.nbytes += int64(value.Len()) - int64(kv.value.Len())
}else{
ele:=c.ll.PushFront(&entry{key: key,value: value})
c.cache[key]=ele
c.nbytes=int64(len(key))+int64(value.Len())
}
// 如果当前使用的内存>允许使用的最大内存 使用淘汰策略
for c.maxBytes !=0 && c.maxBytes < c.nbytes{
c.RemoveOldest()
}
}- 如果键存在,则更新对应节点的值,并将该节点移到队尾。
- 不存在则是新增场景,首先队尾添加新节点
&entry{key, value}, 并字典中添加 key 和节点的映射关系。 - 更新
c.nbytes,如果超过了设定的最大值c.maxBytes,则移除最少访问的节点。