本文主要介绍了Python绘制分段函数,具体如下:

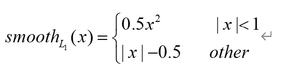
如上图所示的分段函数如何在Python中绘制出来?
import matplotlib.pyplot as plt
import numpy as np
def f(x):
if x <= -1:
return -0.5 - x
if -1 < x <= 1:
return 0.5 * (x ** 2)
else:
return x - 0.5
x = np.linspace(-3, 3)
y = []
for i in x:
y_1 = f(i)
y.append(y_1)
plt.plot(x, y)
plt.grid()
plt.show()

我们换个例子:
import matplotlib.pyplot as plt
import numpy as np
def f(x):
if x <= -1:
return 1
if -1 < x <= 1:
return 0.5 * (x ** 2)
else:
return 1
x = np.linspace(-3, 3)
y = []
for i in x:
y_1 = f(i)
y.append(y_1)
y_2 = x ** 2
plt.plot(x, y)
plt.grid()
plt.show()
结果展示为:
