Logistic Regression Classifier逻辑回归主要思想就是用最大似然概率方法构建出方程,为最大化方程,利用牛顿梯度上升求解方程参数。
- 优点:计算代价不高,易于理解和实现。
- 缺点:容易欠拟合,分类精度可能不高。
- 使用数据类型:数值型和标称型数据。
介绍逻辑回归之前,我们先看一问题,有个黑箱,里面有白球和黑球,如何判断它们的比例。
我们从里面抓3个球,2个黑球,1个白球。这时候,有人就直接得出了黑球67%,白球占比33%。这个时候,其实这个人使用了最大似然概率的思想,通俗来讲,当黑球是67%的占比的时候,我们抓3个球,出现2黑1白的概率最大。我们直接用公式来说明。
假设黑球占比为P,白球为1-P。于是我们要求解MAX(PP(1-P)),显而易见P=67%(求解方法:对方程求导,使导数为0的P值即为最优解)
我们看逻辑回归,解决的是二分类问题,是不是和上面黑球白球问题很像,是的,逻辑回归也是最大似然概率来求解。
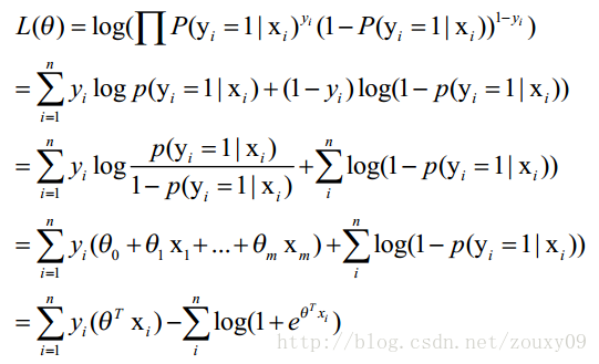
假设我们有n个独立的训练样本{(x1, y1) ,(x2, y2),…, (xn, yn)},y={0, 1}。那每一个观察到的样本(xi, yi)出现的概率是:

上面为什么是这样呢?当y=1的时候,后面那一项是不是没有了,那就只剩下x属于1类的概率,当y=0的时候,第一项是不是没有了,那就只剩下后面那个x属于0的概率(1减去x属于1的概率)。所以不管y是0还是1,上面得到的数,都是(x, y)出现的概率。那我们的整个样本集,也就是n个独立的样本出现的似然函数为(因为每个样本都是独立的,所以n个样本出现的概率就是他们各自出现的概率相乘):

这里我们稍微变换下L(θ):取自然对数,然后化简(不要看到一堆公式就害怕哦,很简单的哦,只需要耐心一点点,自己动手推推就知道了。注:有xi的时候,表示它是第i个样本,下面没有做区分了,相信你的眼睛是雪亮的),得到:

其中第三步到第四步使用了下面替换。

这时候为求最大值,对L(θ)对θ求导,得到:

然后我们令该导数为0,即可求出最优解。但是这个方程是无法解析求解(这里就不证明了)。
最后问题变成了,求解参数使方程L最大化,求解参数的方法梯度上升法(原理这里不解释了,看详细的代码的计算方式应该更容易理解些)。
根据这个转换公式

我们代入参数和特征,求P,也就是发生1的概率。

上面这个也就是常提及的sigmoid函数,俗称激活函数,最后用于分类(若P(y=1|x;
下面是详细的逻辑回归代码,代码比较简单,主要是要理解上面的算法思想。个人建议,可以结合代码看一步一步怎么算的,然后对比上面推导公式,可以让人更加容易理解,并加深印象。
from numpy import *
filename='...\\testSet.txt' #文件目录
def loadDataSet(): #读取数据(这里只有两个特征)
dataMat = []
labelMat = []
fr = open(filename)
for line in fr.readlines():
lineArr = line.strip().split()
dataMat.append([1.0, float(lineArr[0]), float(lineArr[1])]) #前面的1,表示方程的常量。比如两个特征X1,X2,共需要三个参数,W1+W2*X1+W3*X2
labelMat.append(int(lineArr[2]))
return dataMat,labelMat
def sigmoid(inX): #sigmoid函数
return 1.0/(1+exp(-inX))
def gradAscent(dataMat, labelMat): #梯度上升求最优参数
dataMatrix=mat(dataMat) #将读取的数据转换为矩阵
classLabels=mat(labelMat).transpose() #将读取的数据转换为矩阵
m,n = shape(dataMatrix)
alpha = 0.001 #设置梯度的阀值,该值越大梯度上升幅度越大
maxCycles = 500 #设置迭代的次数,一般看实际数据进行设定,有些可能200次就够了
weights = ones((n,1)) #设置初始的参数,并都赋默认值为1。注意这里权重以矩阵形式表示三个参数。
for k in range(maxCycles):
h = sigmoid(dataMatrix*weights)
error = (classLabels - h) #求导后差值
weights = weights + alpha * dataMatrix.transpose()* error #迭代更新权重
return weights
def stocGradAscent0(dataMat, labelMat): #随机梯度上升,当数据量比较大时,每次迭代都选择全量数据进行计算,计算量会非常大。所以采用每次迭代中一次只选择其中的一行数据进行更新权重。
dataMatrix=mat(dataMat)
classLabels=labelMat
m,n=shape(dataMatrix)
alpha=0.01
maxCycles = 500
weights=ones((n,1))
for k in range(maxCycles):
for i in range(m): #遍历计算每一行
h = sigmoid(sum(dataMatrix[i] * weights))
error = classLabels[i] - h
weights = weights + alpha * error * dataMatrix[i].transpose()
return weights
def stocGradAscent1(dataMat, labelMat): #改进版随机梯度上升,在每次迭代中随机选择样本来更新权重,并且随迭代次数增加,权重变化越小。
dataMatrix=mat(dataMat)
classLabels=labelMat
m,n=shape(dataMatrix)
weights=ones((n,1))
maxCycles=500
for j in range(maxCycles): #迭代
dataIndex=[i for i in range(m)]
for i in range(m): #随机遍历每一行
alpha=4/(1+j+i)+0.0001 #随迭代次数增加,权重变化越小。
randIndex=int(random.uniform(0,len(dataIndex))) #随机抽样
h=sigmoid(sum(dataMatrix[randIndex]*weights))
error=classLabels[randIndex]-h
weights=weights+alpha*error*dataMatrix[randIndex].transpose()
del(dataIndex[randIndex]) #去除已经抽取的样本
return weights
def plotBestFit(weights): #画出最终分类的图
import matplotlib.pyplot as plt
dataMat,labelMat=loadDataSet()
dataArr = array(dataMat)
n = shape(dataArr)[0]
xcord1 = []; ycord1 = []
xcord2 = []; ycord2 = []
for i in range(n):
if int(labelMat[i])== 1:
xcord1.append(dataArr[i,1])
ycord1.append(dataArr[i,2])
else:
xcord2.append(dataArr[i,1])
ycord2.append(dataArr[i,2])
fig = plt.figure()
ax = fig.add_subplot(111)
ax.scatter(xcord1, ycord1, s=30, c='red', marker='s')
ax.scatter(xcord2, ycord2, s=30, c='green')
x = arange(-3.0, 3.0, 0.1)
y = (-weights[0]-weights[1]*x)/weights[2]
ax.plot(x, y)
plt.xlabel('X1')
plt.ylabel('X2')
plt.show()
def main():
dataMat, labelMat = loadDataSet()
weights=gradAscent(dataMat, labelMat).getA()
plotBestFit(weights)
if __name__=='__main__':
main()
跑完代码结果:

当然,还可以换随机梯度上升和改进的随机梯度上升算法试试,效果都还不错。
下面是代码使用的数据,可以直接复制本地text里面,跑上面代码。
-0.017612 14.053064 0 -1.395634 4.662541 1 -0.752157 6.538620 0 -1.322371 7.152853 0 0.423363 11.054677 0 0.406704 7.067335 1 0.667394 12.741452 0 -2.460150 6.866805 1 0.569411 9.548755 0 -0.026632 10.427743 0 0.850433 6.920334 1 1.347183 13.175500 0 1.176813 3.167020 1 -1.781871 9.097953 0 -0.566606 5.749003 1 0.931635 1.589505 1 -0.024205 6.151823 1 -0.036453 2.690988 1 -0.196949 0.444165 1 1.014459 5.754399 1 1.985298 3.230619 1 -1.693453 -0.557540 1 -0.576525 11.778922 0 -0.346811 -1.678730 1 -2.124484 2.672471 1 1.217916 9.597015 0 -0.733928 9.098687 0 -3.642001 -1.618087 1 0.315985 3.523953 1 1.416614 9.619232 0 -0.386323 3.989286 1 0.556921 8.294984 1 1.224863 11.587360 0 -1.347803 -2.406051 1 1.196604 4.951851 1 0.275221 9.543647 0 0.470575 9.332488 0 -1.889567 9.542662 0 -1.527893 12.150579 0 -1.185247 11.309318 0 -0.445678 3.297303 1 1.042222 6.105155 1 -0.618787 10.320986 0 1.152083 0.548467 1 0.828534 2.676045 1 -1.237728 10.549033 0 -0.683565 -2.166125 1 0.229456 5.921938 1 -0.959885 11.555336 0 0.492911 10.993324 0 0.184992 8.721488 0 -0.355715 10.325976 0 -0.397822 8.058397 0 0.824839 13.730343 0 1.507278 5.027866 1 0.099671 6.835839 1 -0.344008 10.717485 0 1.785928 7.718645 1 -0.918801 11.560217 0 -0.364009 4.747300 1 -0.841722 4.119083 1 0.490426 1.960539 1 -0.007194 9.075792 0 0.356107 12.447863 0 0.342578 12.281162 0 -0.810823 -1.466018 1 2.530777 6.476801 1 1.296683 11.607559 0 0.475487 12.040035 0 -0.783277 11.009725 0 0.074798 11.023650 0 -1.337472 0.468339 1 -0.102781 13.763651 0 -0.147324 2.874846 1 0.518389 9.887035 0 1.015399 7.571882 0 -1.658086 -0.027255 1 1.319944 2.171228 1 2.056216 5.019981 1 -0.851633 4.375691 1 -1.510047 6.061992 0 -1.076637 -3.181888 1 1.821096 10.283990 0 3.010150 8.401766 1 -1.099458 1.688274 1 -0.834872 -1.733869 1 -0.846637 3.849075 1 1.400102 12.628781 0 1.752842 5.468166 1 0.078557 0.059736 1 0.089392 -0.715300 1 1.825662 12.693808 0 0.197445 9.744638 0 0.126117 0.922311 1 -0.679797 1.220530 1 0.677983 2.556666 1 0.761349 10.693862 0 -2.168791 0.143632 1 1.388610 9.341997 0 0.317029 14.739025 0