直接分析,如原矩阵如下(1):
(1)
我们要截取的矩阵(取其一三行,和三四列数据构成矩阵)为如下(2):
(2)
错误分析:
取 C 的1 3行,3 4 列,定义
Z = [0,2] #定义行数 d = [2,3] #定义列数 #代码 C_zd = C[z,d]
则结果为:
由结果分析取的是第一行第三列和第三行第四列的数据,并非我们想要的结果。
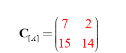
正确分析:
C_A = c[[0,2]] #先取出想要的行数据 C_A = C_A[:,[2,3]] #再取出要求的列数据 print(C_A) #输出最终结果
结果为: 
其结果即为我们求解的,需要两步才可完成。