1. 梯度爆炸的影响
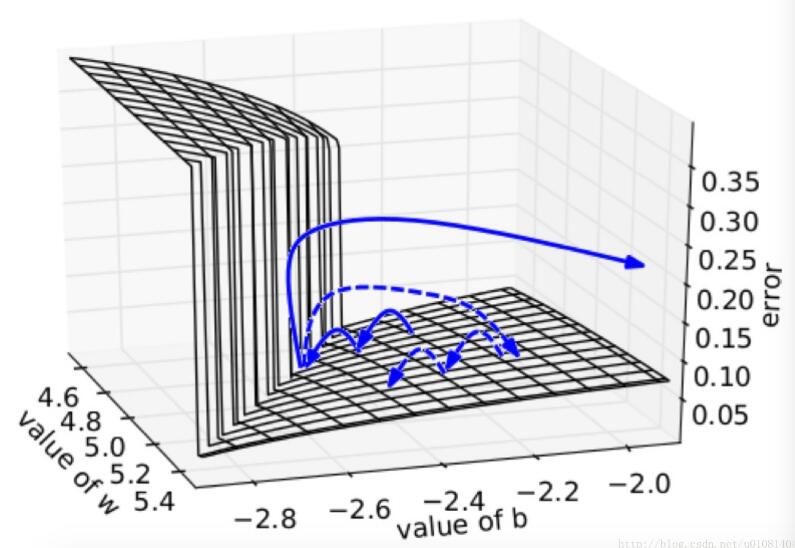
在一个只有一个隐藏节点的网络中,损失函数和权值w偏置b构成error surface,其中有一堵墙,如下所示

损失函数每次迭代都是每次一小步,但是当遇到这堵墙时,在墙上的某点计算梯度,梯度会瞬间增大,指向某处不理想的位置。如果我们使用缩放,可以把误导控制在可接受范围内,如虚线箭头所示
2. 解决梯度爆炸问题的方法
通常会使用一种叫”clip gradients “的方法. 它能有效地权重控制在一定范围之内.
算法步骤如下。
首先设置一个梯度阈值:clip_gradient
在后向传播中求出各参数的梯度,这里我们不直接使用梯度进去参数更新,我们求这些梯度的l2范数
然后比较梯度的l2范数||g||与clip_gradient的大小
如果前者大,求缩放因子clip_gradient/||g||, 由缩放因子可以看出梯度越大,则缩放因子越小,这样便很好地控制了梯度的范围
最后将梯度乘上缩放因子便得到最后所需的梯度

3. 有无clip_gradient在GRU模型中的结果比较
无clip_gradient
可以很清楚地发现在2000次迭代出发生了梯度爆炸,最终影响了训练的效果。

有clip_gradient
可以发现clip_gradient在前期有效了控制了梯度爆炸的影响,使得最终的loss能下降到满意的结果
